|
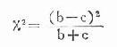
2.如检验结果拒绝检验假设,只能认为各总体率或总体构成比之间总的来说有差别,但不能说明它们彼此之间都有差别,或某两者间有差别。 五、配对计数资料x2检验(x2test of paired comparison of enumeration data) 在计量资料方面,同一对象实验前后差别或配对资料的比较与两样本均数比较方法有所不同;在计数资料方面亦如此。例如表20-16是28份咽喉涂抹标本,每份按同样条件分别接种在甲、乙两种白喉杆菌培养基中,观察白喉杆菌生长情况,试比较两种培养基的效果。 表20-16 两种白喉杆菌培养基培养结果比较 甲培养基 乙培养基 合计 + - + 11(a) 9(b) 20 - 1(c) 7(d) 8 合计 12 16 28从表中资料可见有四种结果:(a)甲+乙+,(b)甲+乙-(c)甲-乙+,(d)甲-乙-;如果我们目的是比较两种培养基的培养结果有无差异,则(a)、(d)两种结果是一致的,对差异比较毫无意义,可以不计,我们只考虑结果不同的(b)和(c),看其差异有无意义,可以应用以下简易公式计算: 检验步骤: 1.检验假设 H0:π1=π2 H1:π1≠π2 α=0.05 2.计算x2值
3.确定P值和分析 配对资料v=1,查附表20-1得知x20.05(1)=3.84,x2>x0.05(1),P<0.05,按α=0.05水准,拒绝H0,可以认为甲培养基的白喉杆菌生长效率较高。 如果b+c>40,则可采用: 此外还有两种以上处理方法的比较,可参阅预防医学专业的医学统计方法有关章节。 附表20-1 x2界值表 v P V P 0.05 0.01 0.001 0.05 0.01 0.001 1 3.84 6.63 10.83 16 26.30 32.00 39.25 2 5.99 9.21 13.81 17 27.59 33.14 40.79 3 7.81 11.34 16.27 18 28.87 34.18 42.31 4 9.49 13.28 18.47 19 30.14 36.19 43.82 5 11.07 15.09 20.52 20 31.41 37.57 45.32 6 12.59 16.81 22.46 21 32.67 38.93 46.80 7 14.07 18.48 24.32 22 33.92 40.29 48.27 8 15.51 20.09 26.12 23 35.17 41.64 49.73 9 16.92 21.67 27.88 24 36.42 42.98 51.18 10 18.31 23.21 29.59 25 37.65 44.31 52.62 11 19.68 24.72 31.26 26 38.89 45.64 54.05 12 21.03 26.22 32.91 27 40.11 46.96 55.48 13 22.36 27.69 34.53 28 41.34 48.28 56.89 14 23.68 29.14 36.12 29 42.56 49.59 58.30 15 25.00 30.58 37.70 30 43.77 50.89 59.70 (责任编辑:泉水) |
公式(20.18)
公式(20.19)