|
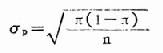
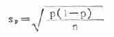
第四节 率的抽样误差和总体率的估计 一、率的标准误 用抽样方法进行研究时,必然存在抽样误差。率的抽样误差大小可用率的标准误来表示,计算公式如下: 式中:σp为率的标准误,π为总体阳性率,n为样本含量。因为实际工作中很难知道总体阳性率π,故一般采用样本率p 来代替,而上式就变为 例 20.5河北省组织高碘地方性甲状腺肿流行病学调查,作者调查了饮用不同碘浓度井水居民甲状腺肿的患病情况,其中有两组资料如下表,试分别求出率的标准误。 水中含碘量均数(μg/L) 受检人数 患病人数 患病率(%) 458.25 3315 59 1.78 825.95 3215 180 5.60计算法:第一组:n1=3315,p1=1.78%=0.0178 1-p1=1-0.0178=0.9822
第二组:n2=3215,p2=5.60%=0.056 1-p2=1-0.056=0.944
二、总体率的可信区间 由于样本率与总体率之间存在着抽样误差,所以也需根据样本率来推算总体率所在的范围,根据样本含量n和样本率P的大小不同,分别采用下列两种方法: (一)正态近似法 当样本含量n足够大,且样本率P和(1-p)均不太小,如np或n(1-p)均≥5时,样本率的分布近似正态分布,则总体率的可信区间可由下列公式估计: 总体率(π)的95%可信区间:p±1.96sp 总体率(π)的99%可信区间:p±2.58sp 例如前述两组高碘地方性甲状腺肿患病率的总体患病率可信区间为: 第一组: 95%可信区间为1.78%±1.96×0.23%=1.33%~2.23% 95%可信区间为1.78%±2.58×0.23%=1.19%~2.37% 第二组: 95%可信区间为5.6%±1.96×0.41%=4.80%~6.40% 95%可信区间为5.6%±2.58×0.41%=4.54%~6.66% (二)查表法 当样本含量n较小,如n≤50,特别是p接近0或1时,则按二项分布原理确定总体率的可信区间,其计算较繁,读者可根据样本含量n和阳性数X参照专用统计学介绍的二项分布中95%可信限表。 (责任编辑:泉水) |
公式(20.5)
公式(20.6)

